Uma carga, a depender do contexto, pode ser interpretada de diferentes formas, entendê-la é fundamental para a análise do fluxo de potência, para tornar o trabalho mais simples os modelos de carga são os principais artifícios utilizados para as simulações. Um modelo é uma representação de algo real, nesse caso o fenômeno do comportamento das cargas em relação às suas variáveis, que tem como objetivo descomplicar e tornar mais maleável.
 Nesse contexto, entre os modelos existentes, o modelo ZIP é popularmente empregado em estudos de fluxo de potência e de estabilidade de tensão. Este modelo é representado pela combinação de três parcelas definidas como potência constante, corrente constante e impedância constante.
Potência constante
Na parcela de potência constante, as potências ativa e reativa consumidas são consideradas constantes e independentes da tensão de alimentação. Os motores de indução é um exemplo de carga com essa característica.
 
 
 
Onde P0 e Q0 são as potências ativa e reativa nominais.
Impedância constante
Nesta parcela, a carga se comporta como uma impedância de resistores, capacitores e indutores constantes. Capacitores, equipamentos de aquecimentos resistivos e iluminação incandescente são alguns exemplos de cargas desse tipo.
 
 
 
Onde Z0 é a impedância nominal da carga.
Corrente constante
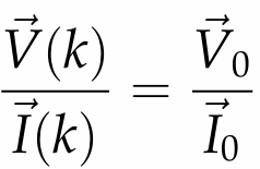
Neste caso, a corrente de operação é igual ao módulo da corrente nominal, I0, e o fator de potência é igual o nominal. Alguns exemplos desse tipo de carga são os fornos a arco, lâmpadas fluorescentes compactas e lâmpadas de vapor de mercúrio. a potência varia linearmente com a amplitude da tensão.
 
Composição do modelo ZIP
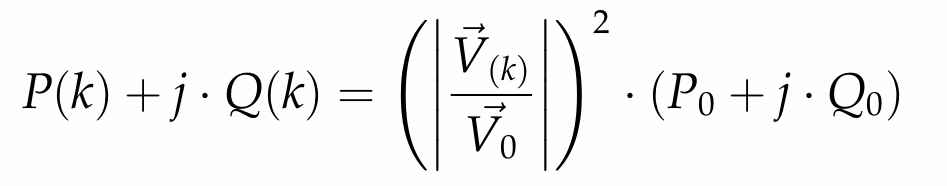
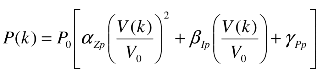
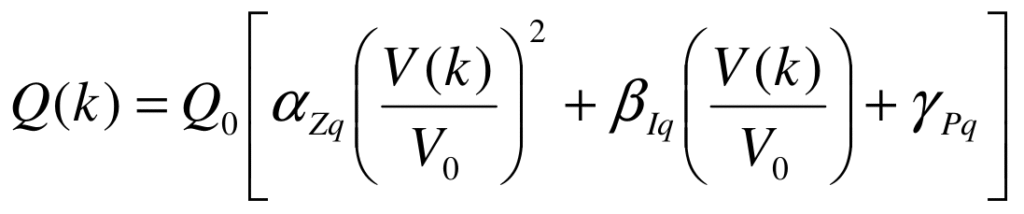
Abaixo estão relacionadas as expressões que definem o modelo ZIP. Tanto a potência ativa, quanto a reativa possuem três parcelas, a de impedância constante, que varia com o quadrado da tensão, a corrente constante, que varia linearmente com a tensão e a potência constante, parcela independente. 
 
 
 
As constantes α, β e γ gama possuem valores que variam de 0 à 1, que representam a porcentagem da participação de cada parcela no modelo ZIP. Por conseguinte, a soma de α, β e γ tem que ser igual à 1, valor que representa cem porcento.
Referências
PUC-RIO. Modelos de Carga. Certificação Digital nº 0812713/CA. Rio de Janeiro: PUC-RIO.  
SILVA, Arthur O.; NEGRETE, Lina P. G.; BRIGATTO, Gelson A. A. Relevância do Modelo de Carga ZIP em Sistemas de Distribuição de Energia Elétrica. Anais do XXXV Congresso Brasileiro de Automática, São Paulo: Sociedade Brasileira de Automática (SBA), 2022.
BARBOSA, Daniel. Sistemas Elétricos de Potência 2025.2. 2025. Notas de aula.